错题本
好题
考察极限存在
难度评级:⭐️
若极限
存在,求a的取值范围与此极限的值。
二项式展开,留下最高次项
显然,若使得极限存在,则 得:
这是一个分割线~
考察函数的间断点
设函数 ,则 的间断点是_____.
一旦函数是用极限来定义的,那这个函数大概率是一个分段函数,所以要首先把函数表达式算出来
真
若 ==> f(x) = x^2
常数 ==> 抓大头
若 ==> f(x) = x - x^2
可得分段函数:
分析得:间断点为
考察中值定理算极限
难度评级:⭐️⭐️
求极限
法1:
左分式同除后通分,得:
由重要极限e得:
由拉格朗日中值定理,得:
介于和之间可知,,对泰勒展开,得:
解得:
真是服了,两分钟写出来的题,对着手稿敲TeX,敲了10分钟才敲出来,当然也有部分原因是我对TeX还不是很熟悉,就比如我就需要去查一下才知道怎么打出来
推荐一篇,LaTeX公式总结文章👉️传送门👈️
这是一个分割线~
考察函数构造
难度评级:⭐️⭐️
已知函数的定义域是,且满足,,求证:
法1:
由且得:
我又悟了,我每天就精选1/2题放到网站上不就好了。
这是一个分割线~
考察复合函数泰勒展开求极限
求极限
难度评级:⭐️⭐️
法1:
对泰勒展开:
对泰勒展开:
原极限:
这是一个分割线~
考察极限相乘泰勒展开
求当时,与为等价无穷小,则 ______. _____.
对于
对于
可得:
考察费马定理+拉中
难度评级:⭐️⭐️
函数在上有二阶导数,。若在上的最大值。证明:存在 ,使得。
构造原函数:
需证,设存在使得
时,由费马定理知,。
由拉格朗日中值定理,得:
时
由拉格朗日中值定理,得:
得:
综上,得证:存在,使得
考察变上限求导

考察全微分
设函数可微 且,,则 d
观察题干给出的,仅有,可以对x求导
后半段过于复杂,先设为
代入:,得:
解得:
代入:,得:
解得:
解得:代入
考察二元函数最值
求函数 在区域 上的最大值
区域内部:
令
区域边界:
法1:Lagrange乘数法 注:目标函数转化
令
法2:极坐标(条件是:圆或椭圆)
需求在下的
令
法3:极坐标(不分边界和内部)
令求在时的最大值为
法4:均值不等式(不分边界和内部)
考察二重积分的极限
知识点传送门
设 g(x) 有连续的导数, g(0)=0, g′(0)=a≠0, f(x,y) 在点 (0,0) 的某邻域内连续,则
法1:(二重积分的积分中值定理)
抽象函数的二重积分
设是可微函数的反函数,且 ,则的值
法1:
法2:
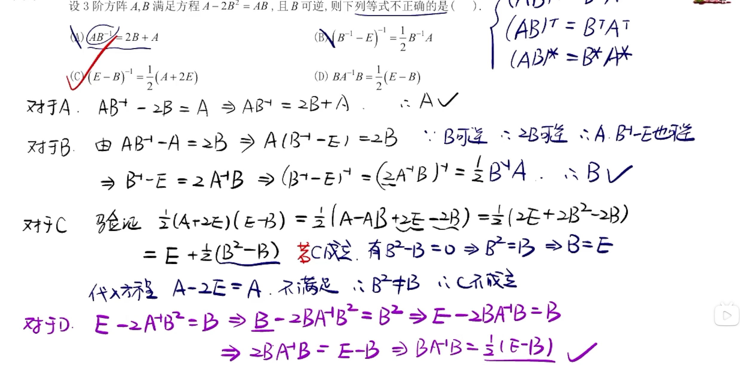
考察抽象矩阵
已知 , 又 , 则 _______.
解得:
全面考察矩阵的运算技巧
设是 5×4 矩阵,且的列向量线性无关是四阶矩阵,满足 2.是的伴随矩阵.则
法1:
【秩不变口诀】
左乘列满秩(说明)
法2:
【AB=0】
有
法3:
【消除律】
左乘列满秩可消去
法4:
一定是方阵
【四秩相等】
可逆
法5:
【AB = 0的第二个角度】
的列向量是的解
只有零解
即的列向量都是零向量 ==>
【伴随的秩结论】
得:
考察线性相关性
现有四个向量组
①
②
③
④
则下列结论正确的是
(A) 线性相关的向量组为①④; 线性无关的向量组为②③.
(B) 线性相关的向量组为③④; 线性无关的向量组为①②.
(C) 线性相关的向量组为①②; 线性无关的向量组为③④.
(D) 线性相关的向量组为①③④; 线性无关的向量组为②.
选D
【线性相关性质】
(1)n+1个n维向量必相关
(2)低维无关,高维也无关
考察线性相关性2
设 , , 都是 n 阶矩阵, 记向量组 (I) ; (II) ; (III) . 若向量组 (III) 线性相关, 则
(A) (I)、(II) 均线性相关.
(B) (I) 或 (II) 中至少有一个线性相关.
(C) (I) 一定线性相关.
(D) (II) 一定线性相关.
法1:取行列式
或或
法2:反证法(取不了行列式)
假设:且
左列右行 ==> ==> AB线性无关与题设矛盾
否定假设:或
考察向量组表示
(2021, 数农改) 若向量组 可由向量组 线性表出,则 线性无关是 线性无关的 (A) 充分必要条件.
(B) 充分不必要条件.
(C) 必要不充分条件.
(D) 既不充分也不必要条件.
【线性表示结论】 (5)向量组可以表示向量组
<==>
==>
(2021, 数农) 设n维列向量组 线性无关,则n维列 向量组 线性无关的充分必要条件为( )
(A) 向量组 可由向量组 线性表示.
(B) 向量组 可由向量组 线性表示.
(C) 向量组 与向量组 等价.
(D) 矩阵 与矩阵 等价.
大前提:n维列向量组 线性无关 ==>
考虑(A)
必要条件
举反例: 
(A)(B)(C)都不是充分条件
排除(A)(B)(C)
(D)【矩阵等价】 ==>
大前提: 题干可翻译成:
大前提 + 题干 =
大前提 + 选项 =
显然是充分必要条件
考研真题
分段积分,去绝对值
难度评级:⭐️⭐️
设为正整数,记为曲线 与轴所围图形的面积,求,并求.
法1:
对,你可以使用👉️行列式法👈️或者👉️表格法👈️,
解得:
由(2)带入(1),得:
解得:
考察全微分
设函数可微,且, , 则
可先回顾这道题
代入:,得:
解得:
代入:,得:
解得:代入
考察二阶齐次特解
【2016,数二】已知, 是二阶微分方程
的两个解.若,求,并与出该微分方程的通解.
代入:
解得:
考察二维正态分布或相关系数公式
【2022,数一】设随机变量 , 若在 的条件下, 随机变量 , 则 与 的相关系数为( )
(A) .
(B) .
(C) .
(D) .
翻译条件:
法一:二维正态分布密度函数
==> ==> ==>
法二:相关系数公式
泊松积分 ==> ==> ==>
错题本
高数
空间曲线切线公式

可微偏导问题

二重定积分求和

二类曲线参数化

中值不等式问题

偏导定义

复合函数

傅里叶级数

洛必达

奇偶性复合

积分周期性

线性代数
普通正交矩阵

AB=BA结论

正定二次型结论

矩阵方程化简(可逆分析)

方程组同解

方程组公共解

正定与合同


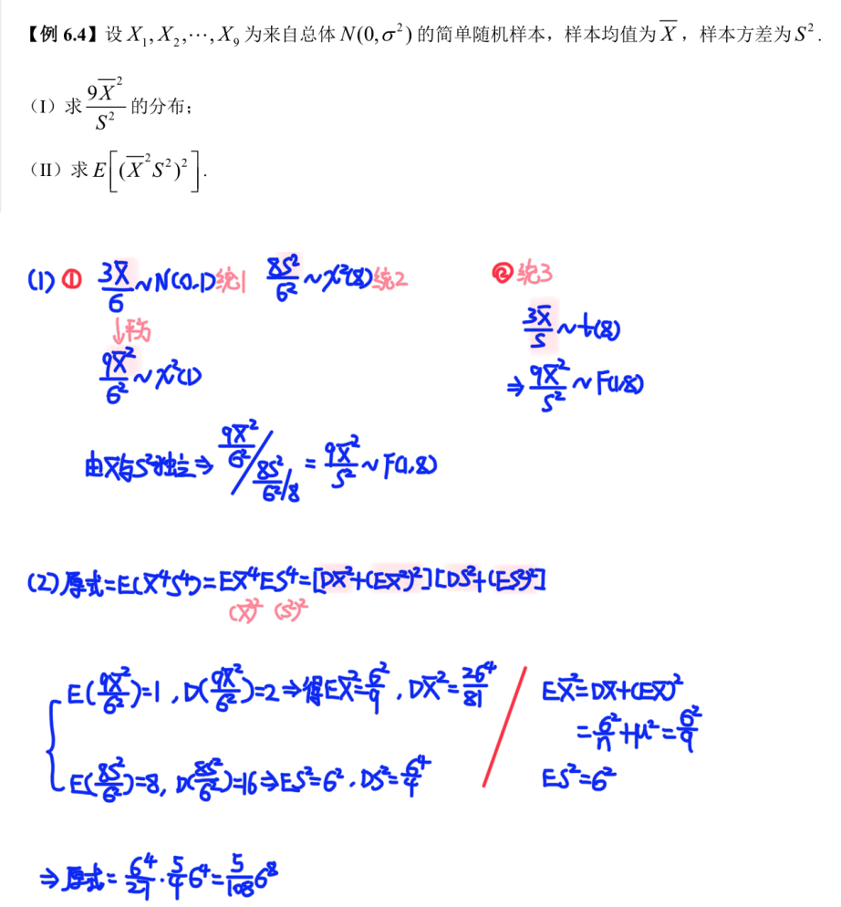
统计概率
拒绝域

离散似然函数
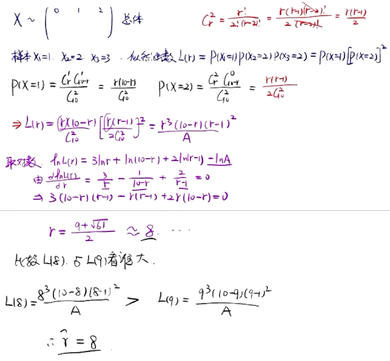
设某箱中有 10 个产品,其中正品的个数为l.从中任取两个产品,记为两个产品中正品的个数,现对 独立观察三次,结果为1,2,2,则未知参数 的极大似然估计值

期望积分定义

分布函数包含关系

切绳问题

两类错误(弃真取伪)

大数定律之一

凑统二

分布函数与最值函数

拒绝域显著性水平

经验之谈
多元方程(等式)
等式中有多个参数,可尝试将一个参数设为变量,其他参数作为常数,进行求导
大部分公式,使用SimpleTex图片识别
在我看来,笔记是一个很好激活记忆的工具。
就比如学完一个知识点后,可能是一个月也可能是一周之后,对这个知识点的结论的印象变得模糊,所以重新翻看笔记就能够激活当时学习的情境,让我快速地重新掌握这个知识点。
但是其他人没有经历我当时学习的情境,所以部分细节无法理解或者没记上去的一些知识点没有掌握,导致不能够理解/学懂我的笔记内容。
为学日益,为道日损。——《道德经》
可以理解为,大量的信息日益增长,这些信息包括我们的实践经验,以及各种细碎的心得体会。而精炼的压缩过的概念、总结出来的原则日益削减。从而达到大道至简的境界。这一种封装与解压的关系,只有做到可以相互转换,我们的学习才能和谐。